
|
|
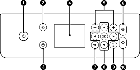
Encén o apaga la impressora. Desconnecteu el cable d'alimentació després de comprovar que l'indicador d'encesa estigui apagat. |
|
|
Mostra la pantalla d'inici. |
|
|
Mostra les solucions teniu problemes. |
|
|
Mostra menús i missatges. Utilitzeu els botons del tauler de control per seleccionar un menú o definir ajustos. |
|
|
Selecciona el nombre de pàgines a imprimir. |
|
|
Atura l'operació actual. |
|
|
Torna a la pantalla anterior. |
|
|
Utilitzeu els botons |
|
|
S'aplica a diverses funcions segons la situació. |
|
|
Inicia una operació com ara impressió o còpia. |