
|
|
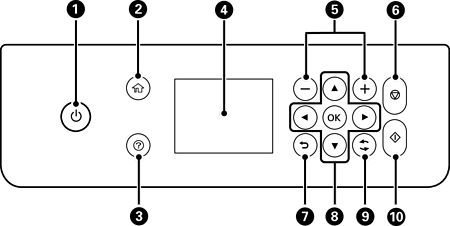
Liga ou desliga a impressora. Desligue o cabo de alimentação após confirmar que o indicador luminoso de alimentação está desligado. |
|
|
Apresenta o ecrã inicial. |
|
|
Exibe as soluções quando tem problemas. |
|
|
Apresenta os menus e mensagens. Utilize botões no painel de controlo para selecionar um menu ou efetuar definições. |
|
|
Selecciona o número de páginas a imprimir. |
|
|
Para a operação atual. |
|
|
Regressa ao ecrã anterior. |
|
|
Utilize os botões |
|
|
Aplica-se a várias funções, dependendo da situação. |
|
|
Inicia uma operação, como impressão ou cópia. |