
|
|
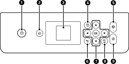
Zapíná a vypíná tiskárnu. Po kontrole zhasnutí kontrolky napájení odpojte napájecí kabel. |
|
|
Zobrazí domovskou obrazovku. |
|
|
Zobrazí nabídky a zprávy. Pomocí tlačítek na ovládacím panelu vyberte nabídku nebo proveďte nastavení. |
|
|
Zobrazí řešení v případě potíží. |
|
|
Zastaví aktuální operaci. |
|
|
Provede návrat na předchozí obrazovku. |
|
|
Pomocí tlačítek |
|
|
Platí pro řadu funkcí v závislosti na situaci. |
|
|
Spustí příslušnou operaci, např. tisk nebo kopírování. |