
|
|
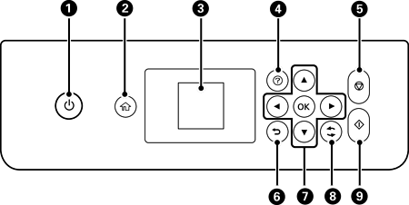
Menyalakan dan mematikan printer. Lepaskan kabel daya setelah memastikan bahwa lampu daya dalam keadaan mati. |
|
|
Menampilkan layar beranda. |
|
|
Menampilkan menu dan pesan. Gunakan tombol-tombol pada panel kontrol untuk memilih menu atau untuk melakukan pengaturan. |
|
|
Menampilkan pemecahan masalah yang sedang Anda hadapi. |
|
|
Menghentikan operasi yang sedang berlangsung. |
|
|
Kembali ke layar sebelumnya. |
|
|
Gunakan tombol |
|
|
Berlaku untuk berbagai fungsi sesuai situasinya. |
|
|
Memulai operasi seperti mencetak dan menyalin. |