
|
|
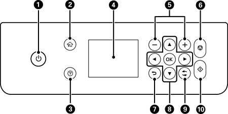
Включва или изключва принтера. Изключете захранващия кабел, след като проверите, че индикаторът за захранване е изключен. |
|
|
Показва началния екран. |
|
|
Показва решение, ако имате проблем. |
|
|
Показва менюта и съобщения. Използвайте бутоните на контролния панел, за да изберете меню или за извършване на настройки. |
|
|
Избира броя на страниците за отпечатване. |
|
|
Прекратява текущата операция. |
|
|
Връща към предишния екран. |
|
|
Използвайте бутоните |
|
|
Отнася се за различни функции в зависимост от ситуацията. |
|
|
Стартира операция, като например отпечатване или копиране. |