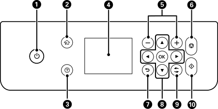
Панель управления

Служит для включения и выключения принтера.

Отключайте шнур питания только после того, как индикатор питания погаснет.

Отображает начальный экран.

Служит для отображения решений при возникновении неполадок.

Отображает меню и сообщения. Используйте кнопки на панели управления для выбора меню или настройки параметров.

Выберите количество страниц печати.

Служит для остановки текущей операции.

Служит для возврата на предыдущий экран.

Используя кнопки , , и , выберите нужный элемент на экране, затем нажмите кнопку OK, чтобы открыть выбранное меню или настроить параметры.

Применяется к различным функциям в зависимости от ситуации.

Запускает такие операции, как печать или копирование.