
|
|
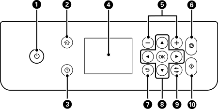
Bật hoặc tắt máy in. Rút phích cắm điện sau khi kiểm tra thấy đèn nguồn tắt. |
|
|
Hiển thị màn hình chính. |
|
|
Hiển thị những giải pháp khi bạn gặp sự cố. |
|
|
Hiển thị các menu và thông báo. Sử dụng các nút trên bảng điều khiển để chọn một menu hoặc thực hiện cài đặt. |
|
|
Chọn số trang cần in. |
|
|
Dừng thao tác hiện tại. |
|
|
Quay lại màn hình trước. |
|
|
Sử dụng các nút |
|
|
Áp dụng cho các chức năng khác nhau tùy vào tình huống. |
|
|
Bắt đầu một thao tác như in hoặc sao chép. |