Хянах самбар дээрх Фото хэвлэх цэснээс хэвлэх
Бэхний картридж ба бусад зарцуулалтыг солих
Сүлжээний үйлчилгээ болон програмын мэдээлэл
Хянах самбараас сканнердах үйл ажиллагааг тохируулах хэрэглээ (Epson Event Manager)
Компьютероос шуурхай, зугаатай хэвлэх програм (Epson Photo+)
Ухаалаг төхөөрөмжөөс принтерийг хялбархан ажиллуулах программ (Epson Smart Panel)
Програм хангамж, техник хангамж шинэчлэх програм (Epson Software Updater)
Сүлжээн дэх төхөөрөмжийг тохируулах програм (EpsonNet Config)
Хянах самбарыг ашиглан Принтерийн техник програм хангамжийг шинэчлэх

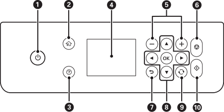
|
|
Принтерийг асааж унтраана. Тэжээлийн гэрэл унтарсныг шалгасны дараагаар тэжээлийн залгуурыг салгана. |
|
|
Үндсэн дэлгэцийг харуулна. |
|
|
Танд асуудал тулгарахад шийдлийг харуулна. |
|
|
Цэс, мэдээллийг харуулна. Цэсийг сонгох эсвэл тохиргоо хийхийн тулд хянах самбар дээрх товчнуудыг хэрэглэнэ. |
|
|
Хэвлэх хуудсуудыг сонгоно. |
|
|
Одоогийн үйл ажиллагааг зогсооно. |
|
|
Өмнөх дэлгэц рүү буцах. |
|
|
Бай руу анхаарлыг шилжүүлэхийн тулд |
|
|
Нөхцөл байдлаас шалтгаалан олон төрлийн функцэнд хэрэглэнэ. |
|
|
Хэвлэх эсвэл хуулах үйлдлийг эхлүүлнэ. |








товчнуудыг хэрэглэх ба сонгогдсон цэсийг нээх эсвэл тохиргоо хийхийн тулд 
